Temporal niche switching after competition
What two wild mouse species teach us about coexistence, conflict, and the ecology of time
When animals compete for the same food in the same place, the usual assumption is that the stronger species wins by holding territory, reaching the resource first, or physically driving the weaker species away.This preprint argues that there is another route to coexistence: the weaker species can keep the place, but change the time.In other words, time itself becomes a refuge.
The study follows two sympatric mouse species in a peri-urban site near Warsaw, Poland: the black-striped mouse ( Apodemus agrarius ) and the yellow-necked mouse ( Apodemus flavicollis ).Over a five-month period, the researchers used baited, video-monitored chambers to observe how both species responded to a novel, highly palatable food source and to one another.The setup generated 1,805 chamber visits and 100 social encounters, including direct interspecific fights. What emerged was a clear asymmetry.A. flavicollis was the aggressor and dominant competitor, while A. agrarius responded not by matching aggression, but by changing its schedule.After repeated agonistic encounters, A. agrarius shifted from nocturnality toward diurnality and cathemerality, reducing contact with the dominant species and gaining safer access to the food source.
This is why the paper matters. It is not only a study of two mice.It is a study of how behavioral flexibility can solve a competition problem without spatial separation.It also strengthens a broader argument running through much of the recent rodent literature: if researchers want to understand how small mammals survive in dynamic or human-altered environments, they need to take time seriously.Not just season, not just temperature, but daily time-use as an adaptive variable in its own right.
Why chronoecology belongs in rodent research
The paper frames its question in terms of chronoecology, the study of how animals interact with their environment through time.A species’ temporal niche is the part of the day when it is active.Temporal niche switching happens when that timing changes in response to altered environmental conditions, including food availability, predation pressure, or competition.The authors argue that this temporal dimension has often received less attention than spatial niche segregation, even though many rodents appear especially capable of adjusting their schedules rather than simply moving elsewhere.That point is important because rodents are unusually flexible animals.The introduction reviews how their behavior can change in response to food availability, photoperiod, temperature, moonlight, predator presence, and interspecific competition.In unpredictable or human-modified environments, this kind of flexibility may be one of the main reasons rodents remain so resilient.The paper treats temporal niche switching as one expression of that resilience.
What the researchers actually did
The study took place from November 2020 to April 2021 in a dedicated laboratory-to-field site in a peri-urban area next to a forest near Warsaw.Two free-access wooden observation chambers were connected to entrance pipes and monitored continuously with infrared video cameras inside and outside.Each evening after dusk, the researchers placed ten grams of chocolate-nut cream in a Petri dish at the center of each chamber.The animals were not trapped, marked, or handled. They were free-ranging mice choosing whether or not to enter.The final dataset covered 136 recorded days, divided into four equal 34-day periods for analysis.The design matters because it gave the researchers something rare: direct, continuous observation of both foraging and social interaction under natural conditions.Figure 1 on page 9 shows the two species, the external chamber setup, and the chamber schematic.Figure 2 on page 13 shows example chamber visits and both non-agonistic and agonistic encounters.This is not a staged laboratory duel. It is a monitored food point in the animals’ own environment.
The asymmetry between the species
The paper’s central pattern is not subtle. A. flavicollis was the dominant species in direct conflict.Among interspecific agonistic encounters, it initiated the aggression in 100 percent of cases, attacked within two seconds in 92.3 percent of cases, and won 84.6 percent of those encounters.More broadly, 86.7 percent of interspecific encounters were agonistic, a higher proportion than in intraspecific encounters.This fits the literature the authors review. A. flavicollis is already known to be larger and behaviorally dominant over related species, and the paper adds site-specific morphometric context from the same location: males of A. flavicollis were substantially larger than male A. agrarius in total length, body length, and weight.The study therefore begins from a biologically plausible asymmetry and then watches what each species does with it.What makes the result interesting is that the subordinate species did not disappear from the chambers.A. agrarius did not abandon the food source. It changed its timing.
From shared nocturnality to temporal segregation
At the start of the study, both species preferred nocturnality. But that similarity did not last.The strongest interspecific conflict occurred in Period 1, when 23.5 percent of all encounters were interspecific and 83.3 percent of those were agonistic.Then the pattern changed dramatically. In Period 2, interspecific encounters fell to 3.2 percent of all encounters, remaining significantly lower than Period 1 in all subsequent periods.The mechanism behind that drop appears in the temporal data.The actograms on page 17 show how the hourly distribution of visits diverged across the four periods.The light-versus-dark analysis on page 19 and in the following text makes the shift even clearer.In Period 1, A. agrarius was mildly nocturnal, with nighttime visiting 5.5 percent above chance.In Period 2, after the early fights, it switched to diurnality, with nighttime visiting 7.3 percent below chance.In Period 3 it became cathemeral, showing no significant preference either way.In Period 4 it moved strongly toward diurnality again, with nighttime activity 14.1 percent below chance.Throughout all four periods, A. flavicollis remained strongly nocturnal.This is the paper’s headline result. The dominant species kept the night. The subordinate species changed its schedule.That temporal segregation appears to have reduced conflict while still allowing food access.The authors present it as direct, video-monitored evidence of temporal niche switching induced by interspecific competition in nature.Because this is a bioRxiv preprint posted in March 2026 and not yet peer reviewed, that novelty claim should be treated as the authors’ current position rather than final settled consensus.Even so, the dataset is unusually direct and persuasive.
Not just a phase change, but active avoidance
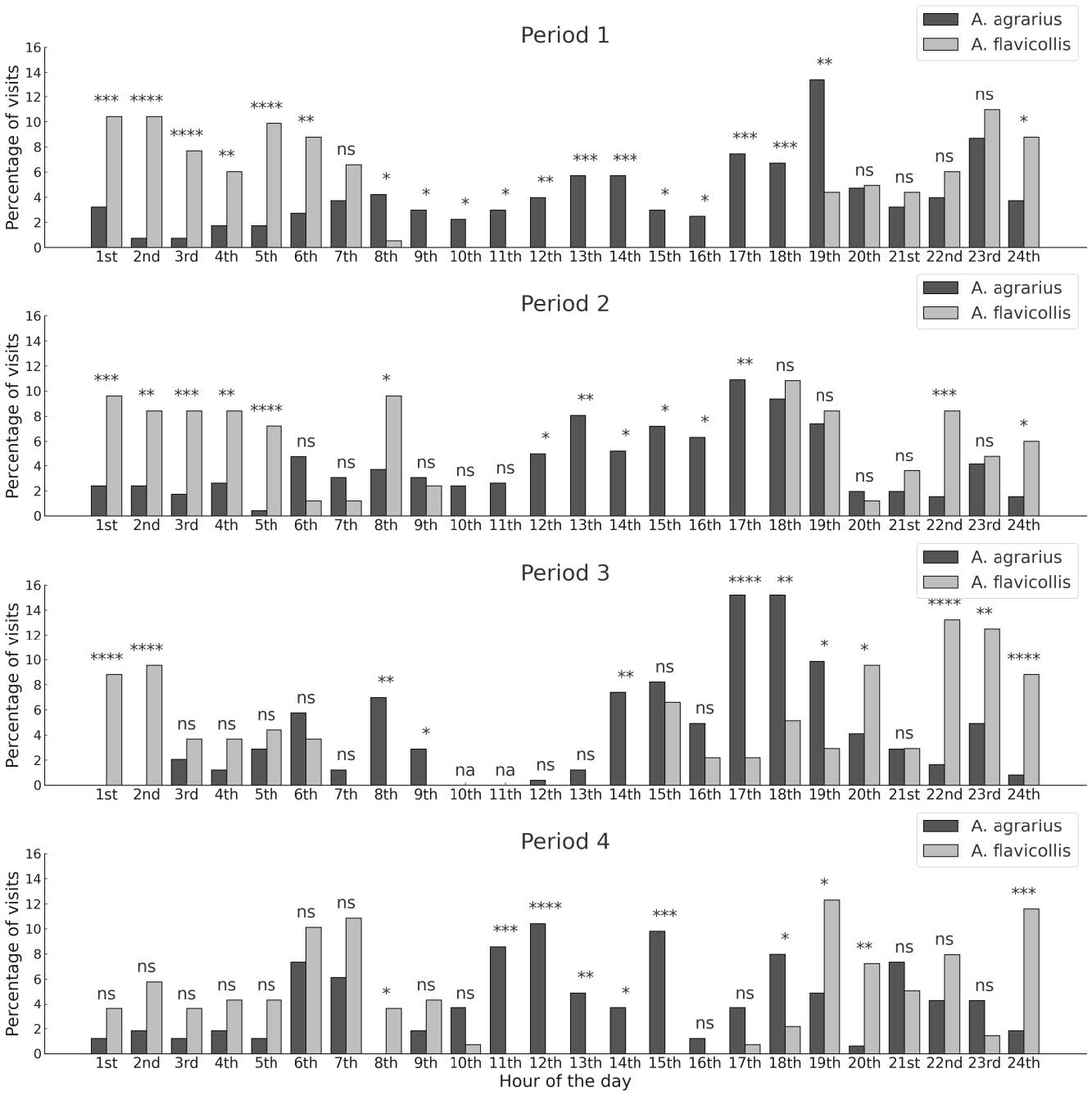
The paper goes beyond broad chronotype categories. It also asks whether A. agrarius adjusted its behavior in relation to the specific hours occupied by A. flavicollis .The answer is yes, at least in key periods. The bar chart on page 23 shows that in Period 2, A. agrarius visited significantly less during hours when A. flavicollis was active than during hours when it was absent.The same pattern reappeared in Period 4. In Periods 1 and 3, that difference was not significant.That detail matters because it makes the shift look less like a passive seasonal drift and more like an adaptive response to competitive pressure.The authors explicitly suggest that A. agrarius may have learned an association between conflict and time of day, then adjusted its foraging pattern to avoid the dominant competitor.They describe this as a possible operant-conditioning-like process: defeats concentrated in one temporal window may have taught the subordinate species to avoid that window.That interpretation is plausible, and it also makes this paper relevant to a wider conversation about behavioral plasticity.The subordinate species did not need to become stronger. It needed to become more flexible.
Why only one species switched
One obvious question is why A. agrarius changed and A. flavicollis did not.The paper offers two main answers. First, the asymmetry in strength and aggression meant that A. flavicollis had no immediate reason to shift.It was already winning. Second, A. flavicollis appears to be more tightly specialized for nocturnal life.The authors note its consistent nocturnality across all periods and suggest that larger relative eye size may reflect adaptation for low-light foraging.By contrast, A. agrarius proved capable of being nocturnal, diurnal, or cathemeral depending on conditions.This is where the paper becomes more than a competition study. It becomes a study of different survival strategies.A. flavicollis uses physical dominance and a stable temporal niche. A. agrarius uses behavioral flexibility.The authors explicitly frame this as a contrast between physical superiority and cognitive or behavioral adaptability.
Why this matters beyond these two mice
At first glance, a peri-urban Apodemus study might seem distant from urban rodent management. It is not.Its broader lesson is that access to a resource is not determined only by location and abundance.It is also determined by who is present at what time, who dominates whom, and whether the subordinate animal can re-time its use of the same space.In many rodent systems, that kind of temporal partitioning may be just as important as spatial avoidance.The paper also strengthens a methodological point that has been appearing across this body of work: laboratory studies alone are not enough if they erase the ecological context that shapes real decisions.The authors emphasize that daily rhythms in rodents often change once animals are taken into the laboratory.Their “wild clocks” approach is meant to preserve ethological validity by observing free-ranging animals on their own schedule.The actograms on page 17 and the light-dark analysis on page 19 are therefore not just results.They are an argument for a field-based chronobiology that can capture genuine temporal behavior.
What this means for EUREKA
For the EUREKA team, the main lesson is simple: time is not a background variable.It is part of the mechanism. If two related rodents can reduce conflict by splitting their use of the same food point across the day, then monitoring systems that only ask “who was here?”are missing part of the story. Better logging should ask “when was it used, by whom, under what competitive conditions, and what changed over time?”This paper also supports the idea that competition effects may show up first in temporal patterns before they show up in raw occupancy counts.A site can appear continuously active while the meaning of that activity changes completely.One species may hold the night and another may retreat into daytime or into specific hour windows.If the data system collapses visits across the full 24-hour cycle, that structure disappears.Finally, the paper reinforces a broader ecological argument that matters in human-altered environments: flexibility may be a stronger long-term asset than dominance.The physically superior species held its niche, but the more flexible species found a way to persist around it.In a world of climate disruption, habitat fragmentation, and irregular human disturbance, that may turn out to be a very consequential difference.The authors make this point explicitly when they connect behavioral plasticity to resilience under environmental change.
Closing
This preprint offers a clean and memorable lesson: coexistence can be negotiated through the clock.At a shared, highly attractive food source, the dominant mouse species used aggression and retained its nocturnal schedule.The subordinate species responded by moving into the day, then adjusting again as conditions changed.Conflict dropped, access remained possible, and time became the mechanism of separation.That makes the paper valuable for more than chronoecology. It offers a practical way to think about rodent competition, behavioral plasticity, and the design of monitoring systems.If time can function as a niche, then any serious field program needs to treat hour-by-hour behavior as part of the ecology, not as a minor detail to average away.
Suggested figures for the EUREKA page
- Figure 1 on page 9 is the best opening visual because it shows both species and the chamber setup.

- Figure 3 on page 17 is the strongest scientific figure because it presents the 24-hour actograms across the four periods.

- Figure 4 on page 19 is the clearest summary of the shift in nocturnality and diurnality.

- Figures 5 and 6 on pages 21 and 23 work well as secondary visuals because they connect the temporal switch to agonism and hour-specific avoidance.

Since this is a bioRxiv preprint under CC BY-NC-ND 4.0, any reuse should keep figures unmodified and credit the source appropriately.
Reference
Stryjek, R., d’Isa, R., Parsons, M. H., SzymaĆska, K., Socha, K., Chrzanowski, M., Kurek, K., & Bebas, P. Chronoecological interactions: Temporal niche-switching by black-striped mice after agonistic food competition with a dominant sympatric mouse species.bioRxiv preprint, posted March 17, 2026.